Skip to main content

Uniswap V3: Understanding the Real Reserves Curve

Uniswap is currently the leading decentralized exchange in the blockchain world. In this article, I am going to explain the Curve of Real Reserve on Uniswap V3 in mathematical logic. This paper assumes you are familiar with automated market makers between two assets X and Y defined as a trading function, meaning a relationship between its reserves x and y.

First, we consider a market with liquidity L and amounts x and y of assets X and Y respectively. And, we also have P as the price of X in terms of Y.

It follows immediately that:
In the earlier version, Uniswap V2, liquidity was distributed across the entire price range (0,∞), leading to inefficient liquidity utilization since much of the assets in the pool are never touched. The graph looks like this:
Now, on version V3, liquidity providers are capable of providing liquidity in a fixed price range, saying [Pa, Pb] for example. This feature is called concentrated liquidity. 
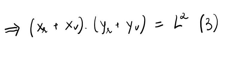
If the price does not fall outside of the range, you can provide more effective liquidity called virtual liquidity. Then, we rewrite the reserves x and y in terms of the real and virtual reserves:

With a concentrated position, reserves for both tokens in the pool are consumed at a greater rate during trades, leading them to be fully exhausted at either end of the range (Pa or Pb). 

This means that when P = Pb, the real reserve of token X (x_r) is equal to 0, combine with (3) then we have x_v in terms of L and Pb:

Similarly, when P = Pa, the real reserve of token Y (y_r) is equal to 0:
Lastly, by combining (4) and (5), we can rewrite the version V2 formula in terms of real reserves of two tokens like this: 
This final equation is exactly the mathematical logic representing the Curve of Real Reserves on Uniswap V3. 

Comments

Popular posts from this blog

Understanding Automated Market-Makers (AMM): Price Impact

Every day, thousands of people use a decentralized exchange (DEX) for the first time. However, the idiosyncrasies of a public blockchain routinely catch newcomers off-guard, even those familiar with trading on more traditional venues. As a result, traders bleed money to arbitrageurs and frontrunners, leading to worse-than-necessary execution. At a high level, we can break down the costs of each trade into several parts: 1. Price impact 2. Broker or trading fees 3. Slippage 4. Transaction fees of the underlying blockchain This article on automated market-makers (AMMs) will serve as an intro to the series and discuss the first and most crucial cost: price impact. You will learn: how AMMs like Uniswap V2, Sushiswap, and Balancer determine the prices they quote and how to minimize the price impact of your trade using a few simple strategies. What are liquidity pools? Most DEXs consist of many liquidity pools that represent different trading pairs, like ETH/WBTC. Instead of matching buyers ...

Uniswap: How to calculate Impermanent Loss?

Impermanent Loss is a popular concept when it comes to automated market makers and decentralized exchanges like Uniswap. This term is often defined as the percentage loss a liquidity provider would experience for a given price movement. This means that, as an LP, your position may fall in value due to volatility, causing a loss compared to holding these assets outside of the pool.  This article will spell out the concept in mathematical logic and explain all the assumptions involved.  We consider a market with liquidity L and amounts x and y of assets X and Y respectively. We also have P as the price of X in terms of Y, and a price movement P1 = P.d where d >0 According to the definition of IL touched upon, we establish a generic formula for IL: where: V1 is the value of your position in the pool at the price P1 (x,y move with price) Vh is the value of your assets at the price P1 if you keep them outside of the pool  We also consider V0 as the initial value of your hol...

Weekly Report: 7th November 2022

Fund Flows  Mixed sentiment following the FOMC announcement last week  TD; LR: 1. Digital asset investment products saw minor outflows totaling US$15.6m last week and a bad start to the month with outflows totaling US$19m. 2. Bitcoin saw outflows totaling US$13m for the week. This follows a 7-week run of inflows and comes after FOMC raised interest rates by a further 75 basis points. 3. Short-Bitcoin investment products also saw outflows for the 3rd consecutive week totaling US$7.1m, bringing total outflows to US$28m. 4. XRP saw inflows for the 3rd week totaling US$1.1m implying improving investor confidence as the SEC case against Ripple looks increasingly fragile.  Digital asset investment products saw minor outflows totaling US$15.6m last week and a bad start to the month with outflows totaling US$19m. However, the flow activity remains very low relative to history, with this doldrum period lasting 8 weeks now. Regionally, the negative activity focussed on the Americas...